欢迎访问白水教育综合服务

设为首页 - 加入收藏

今天是:
   

您当前位置:首页 >> 教育新闻 >> 白水教育

【高考综合改革】《陕西省普通高中学业水平选择性考试科目赋分办法(试行)》政策解读和常见问题解

发布日期:2024年03月27日       发布单位:白水教育       供稿:教育考试中心       编辑: 教育考试中心       浏览: 41次

 

1选择性考试包括哪些科目?成绩如何呈现?

答:选择性考试科目包括思想政治、历史、地理、物理、化学、生物学等6门科目。学生根据自身兴趣、志向、优势和普通高等学校招生专业选考科目要求,在历史和物理科目中首选1门科目,在其余4门科目中再选2门科目参加选择性考试。

选择性考试科目中的物理、历史2门科目成绩以原始分呈现,满分值均为100分。思想政治、地理、化学、生物学等4门科目成绩以原始分转换后的等级赋分呈现,原始分和等级赋分满分值均为100分。选择性考试科目的成绩当年有效。

2为什么物理和历史选择性考试成绩按原始分数计入考生总成绩?

答:《陕西省深化普通高等学校考试招生综合改革实施方案》确定,普通高等学校招生按物理科目组合、历史科目组合两类分列招生计划、分别划线、分别投档。因此,选择物理(或历史)的考生将使用同一物理(或历史)试卷,考试群体相同,成绩具有可比性,可以使用原始分数计入考生总成绩。

3为什么思想政治、地理、化学、生物学选择性考试成绩要实行等级赋分?

答:由于思想政治、地理、化学、生物学4门科目试题难度差异和报考相应学科的考生群体、考生人数不同,考生选考科目的原始分不具有可比性,不能简单将各科成绩相加计入考生总成绩并进行比较。如考生甲选考思想政治,原始分数为90分;考生乙选考化学,原始分数为100分;两人均排在各自学科的第1位,但原始分数相差10分。再如,考生甲选考地理,考生乙选考生物学,两人都考了80分,考生甲排在所有选考地理考生的第100位,考生乙排在所有选考生物学考生的第1000位。若简单将上述考生各科成绩相加计入考生总成绩并进行比较,既没有反映出其真实学业水平,考试和录取结果也不公平。因此,需要将不同科目的原始分数按照一定规则通过转换得到等级赋分(转换后考生选考科目成绩位次不变),以解决选考科目的原始分不具有可比性、可累加性的问题。

4等级赋分的规则是什么?

答:等级赋分是按照统一规则,由原始分数进行等级划定后,再按照“等比例转换办法”由等级转换而来的。第三批、第四批、第五批共23个高考综合改革省份统一使用此赋分办法。

第一步是划定等级。将每门科目按照考生的原始分数从高到低划分为A、B、C、D、E共五个等级,各等级人数所占比例分别约为15%、35%、35%、13%和2%,将考生的原始分数转换成等级。转换基数为我省当年实际参加该科目考试并取得有效成绩的人数,缺考、零分考生人数不计入转换基数。

第二步是进行等级赋分。综合考虑赋分的均衡性和尽可能大的区分度,我省以30分作为赋分起点,满分为100分,将A、B、C、D、E五个等级内的考生原始分数,依照等级比例转换方法,分别对应转换到100~86、85~71、70~56、55~41和40~30五个分数区间,得到考生以等级赋分转换后的分数。

各等级及其所占人数比例、赋分区间对应关系如下表所示。

 

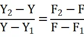
根据等级比例转换方法计算每个考生等级赋分的公式为:

 

其中:Y1、Y2分别表示某等级所对应原始分数区间的下限和上限;Y表示某等级内某考生的原始分数;

F1、F2分别表示相应等级赋分区间的下限和上限;F表示相应等级内某考生以等级赋分转换后的分数。

考生原始分数正好为原始分数区间上限或下限时,不需要按等级赋分公式计算,相应等级赋分区间的上限或下限分数即为该考生以等级赋分转换后的分数。

需注意,等级赋分计算结果按“四舍五入”进行处理,以整数呈现。等级转换分数由省教育考试院依据上述转换规则进行转换。原始分数、转换过程等过程性信息,根据相关规定不予公布。考生在查询成绩时,即可得到转换后的分数,无需自行转换。

5等级转换的具体示例。

考生甲,思想政治科目原始分数为86分(Y)。

第一步,按原始分数划定等级。假设考生甲在当年高考所有选思想政治的考生中排在前15%,该生成绩被划定为A等级。根据所有考生原始分数的分布,当年该科目A等级原始分数区间为97(Y2)~77(Y1)分。

第二步,进行等级赋分。将考生甲的原始分数,依照等比例转换方法,转换到A等级的赋分区间100(F2)~86(F1)分,根据转换公式,得出F≈92,即该考生思想政治科目等级赋分为92分,最后以此成绩计入该考生的高考总成绩。转换过程如下:

 

6等级赋分的优点是什么?

答:一是通过将不同再选科目原始分数按照统一规则转换到同一量尺上,较好地解决了不同再选科目成绩之间不可比的问题。二是通过等比例转换方法将等级转换成等级分数,较好地解决了不同再选科目成绩之间不可累加的问题。三是能够保持每门再选科目内考生成绩排名顺序与原始分数排名顺序不变,能够最大限度保证考生成绩具有良好的区分度,满足高校人才选拔和投档录取需要,确保普通高校招生录取公平公正。

7再选科目是否公布卷面原始分数?

答:卷面原始分数不公布。高考综合改革后,再选科目思想政治、地理、化学、生物学的分数并不是以卷面原始分数形式呈现的,而是相应考试的等级赋分,体现的是考生在选定科目中的排名相对值。这是因为在不同科目之间,试卷的难度和考查的内容有所不同,选考的群体、人数也不同,原始分数并不能准确反映考生的学业水平。考生可以通过公布的等级赋分成绩,了解本人在选考科目中的成绩和排名情况。

8为什么要建立再选科目托底保障机制?

答:根据《陕西省深化普通高等学校考试招生综合改革实施方案》要求,要建立再选科目托底保障机制。教育部出台《普通高校本科招生专业选科科目要求指引》后,对各专业的选考科目作出了具体要求,但在“3+1+2模式”下,个别再选科目仍有可能出现严重失衡情况,影响考试公正,因此要建立再选科目托底保障机制,即:当再选科目中某科目考试人数少于保障基数时,以保障基数为准,从高到低进行等级赋分。其中保障基数按照国家相关学科人才培养的需求、当年全国高校面向陕西的实际招生计划数以及考生选考科目情况等因素予以综合研究确定。

 

       
上一篇:2024年全国普通高等学校运动训练、武术与民族传统体育专业招生文化考试即将举行
下一篇:聚焦问题驱动,创设思维课堂——白水县小学语文“学习共同体”教研推进会

Copyright@2016- 白水教育综合服务 .All rights reserved.  
地址:陕西省渭南市白水县四马路      邮编:715600      电话:0913-6188800
技术支持:大一科技      陕ICP备17012795号-1      本站访问人次:2573438 

执行时间95ms